LogicWeekly » Archiv » Unendliche Potenz» Hallo Gast [Anmelden|Registrieren]

Logic-Weekly.de [Alles zeigen]

 
Adventskalender 2012

 
Rätsel [Alles zeigen]

 
Meine Mitgliedschaft

 
Bestenlisten [Alles zeigen]

 
Die Schulen [Alles zeigen]

 
Rätselforum [Alles zeigen]

 
Unendliche Potenz
Adventskalender 2008 » Mathematik » Zahlen

Die drei Punkte sollen andeuten, dass der Term aus unendlich vielen Potenzen nach dem selben Schema besteht. Mit e ist die Eulersche Zahl gemeint. Definitionsmenge für x sind die positiven reellen Zahlen.

Kreuze an, welches der größtmögliche x-Wert ist, bei dem der Term x hoch x hoch x usw. eine endliche Zahl a ergibt!



Dieses Rätsel ist abgelaufen
Multiple Choice Optionen:
  • A
  • B
  • C
  • D
  • E
  • F
  • G
  • H
  • I
  • J
  • K
  • L
  • M


Lösung ausblenden

Es existiert ein (nicht einfacher) rechnerischer Lösungsweg für Schüler ab der 12. Jahrgangsstufe, der im Folgenden aufgezeigt wird. Ansonsten kommt man auch mit fleißigem Taschenrechner-Einsatz auf die Lösung.

Schritt 1 (Gleichung nach x "auflösen")

Nimmt man an, dass überhaupt endliche Werte a existieren (im Laufe des Beweises wird sich zeigen, dass das sinnvoll ist), dann lässt sich die Gleichung wie folgt "auflösen":

Da unendlich viele Potenzen vorliegen, besteht der rot umrandete Teil ebenfalls aus unendlich vielen und hat folglich den Wert a:

Schritt 2 ("kleine Kurvendiskussion")

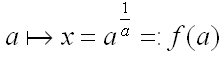
Jetzt wird die Zuordnung

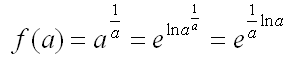
untersucht, indem wir sie zunächst mal umschreiben:

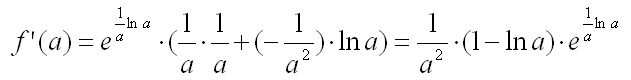
Aus der ersten Ableitung dieser Funktion

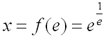
ist ablesbar, dass der einzig mögliche Extrempunkt bei ln a = 1, also a = e und somit

liegt. Dass es sich hierbei tatsächlich um ein Maximum handelt, kann durch die 2. Ableitung nachgewiesen werden.

Für alle möglichen Werte von a ist also

der größtmögliche, der überhaupt in Frage kommt, um einen endlichen Wert a zu erhalten.


Rätselinfos
Start:
19.12.2008 06:30
Ende:
20.12.2008 06:30
Schwierigkeitsstufe:
(80 von 100)
Abgegebene Lösungen:
91
Eingestellt von:
Kornherr Raphael (Carl-Orff-Gymnasium Unterschleißheim)  
» Zur Diskussion im Forum


Abgegebene Lösungen
Benutzer Datum / Uhrzeit Richtig / Falsch Punkte Kontrolliert von
Reusch Folke (Carl-Orff-Gymnasium Unterschleißheim) 19.12.2008 06:32 0 Punkte Kornherr Raphael
Edlich Alexander (Oskar-Maria-Graf-Gymnasium Neufahrn) 19.12.2008 06:35 0 Punkte Kornherr Raphael
Walter Raimund (Gymnasium Gars) 19.12.2008 06:36 0 Punkte Kornherr Raphael
Zoernack Sabrina (Carl-Orff-Gymnasium Unterschleißheim) 19.12.2008 06:46 13 Punkte Kornherr Raphael
Gröninger Max (GAST sonstige: weder Schule noch LMU) 19.12.2008 07:09 12 Punkte Kornherr Raphael
Kummerer Johannes (Carl-Orff-Gymnasium Unterschleißheim) 19.12.2008 07:14 0 Punkte Kornherr Raphael
Wenzl Tobias (Carl-Orff-Gymnasium Unterschleißheim) 19.12.2008 07:22 11 Punkte Kornherr Raphael
Seefried Katharina (Carl-Orff-Gymnasium Unterschleißheim) 19.12.2008 07:30 0 Punkte Kornherr Raphael
Upmeyer Alexander (Oskar-von-Miller-Gymnasium München) 19.12.2008 08:49 0 Punkte Kornherr Raphael
Pohl Tobias (Gymnasium Gars) 19.12.2008 08:51 0 Punkte Kornherr Raphael
Zörnack Gloria (Carl-Orff-Gymnasium Unterschleißheim) 19.12.2008 08:57 10 Punkte Kornherr Raphael
pichler lukas (Oskar-von-Miller-Gymnasium München) 19.12.2008 08:58 0 Punkte Kornherr Raphael
Zivkovic Djordje (Oskar-von-Miller-Gymnasium München) 19.12.2008 09:09 0 Punkte Kornherr Raphael
Legler Janis (Oskar-von-Miller-Gymnasium München) 19.12.2008 09:09 0 Punkte Kornherr Raphael
Ebner Armin (Carl-Orff-Gymnasium Unterschleißheim) 19.12.2008 10:11 0 Punkte Kornherr Raphael
Michéle Alexander (Senefelder-Schule Treuchtlingen) 19.12.2008 10:12 0 Punkte Kornherr Raphael
geih hanna (Erasmus Gymnasium Amberg) 19.12.2008 11:13 0 Punkte Kornherr Raphael
Kammerer Alexander (Carl-Orff-Gymnasium Unterschleißheim) 19.12.2008 11:25 10 Punkte Kornherr Raphael
Langer Fabianus (Carl-Orff-Gymnasium Unterschleißheim) 19.12.2008 11:35 0 Punkte Kornherr Raphael
Niedermeier Felix (Josef-Hofmiller-Gymnasium Freising) 19.12.2008 11:46 0 Punkte Kornherr Raphael
Bock Karin (Oskar-Maria-Graf-Gymnasium Neufahrn) 19.12.2008 11:47 0 Punkte Kornherr Raphael
bruckmaier fleming (Erasmus-Grasser-Gymnasium München) 19.12.2008 11:50 0 Punkte Kornherr Raphael
Xie Sandy (Oskar-von-Miller-Gymnasium München) 19.12.2008 12:09 0 Punkte Kornherr Raphael
wede ferryy (Carl-Orff-Gymnasium Unterschleißheim) 19.12.2008 12:20 0 Punkte Kornherr Raphael
Dietrich Johannes (Staatliches Gymnasium Pullach) 19.12.2008 12:24 0 Punkte Kornherr Raphael
Werner Lisa-Marie (Senefelder-Schule Treuchtlingen) 19.12.2008 12:37 0 Punkte Kornherr Raphael
Greger Andreas (Oskar-von-Miller-Gymnasium München) 19.12.2008 12:57 0 Punkte Kornherr Raphael
Reinl Corinna (Asam-Gymnasium München) 19.12.2008 13:00 0 Punkte Kornherr Raphael
Reinl Verena (Asam-Gymnasium München) 19.12.2008 13:39 0 Punkte Kornherr Raphael
Iraki Tair (Staatliches Gymnasium Pullach) 19.12.2008 14:02 0 Punkte Kornherr Raphael
Rosenstein Daniel (Oskar-von-Miller-Gymnasium München) 19.12.2008 14:06 0 Punkte Kornherr Raphael
Koutny Joshua (Gymnasium Gars) 19.12.2008 14:08 10 Punkte Kornherr Raphael
Streppel Barbara (Staatliches Gymnasium Pullach) 19.12.2008 14:24 0 Punkte Kornherr Raphael
Patsch Constantin (Oskar-Maria-Graf-Gymnasium Neufahrn) 19.12.2008 14:53 0 Punkte Kornherr Raphael
Zhu Franziska (Carl-Orff-Gymnasium Unterschleißheim) 19.12.2008 14:57 10 Punkte Kornherr Raphael
dampf hans (Staatliches Gymnasium Pullach) 19.12.2008 15:00 0 Punkte Kornherr Raphael
G V (Sonstige (nur für Nichtschüler)) 19.12.2008 15:09 0 Punkte Kornherr Raphael
Quaas Oliver (Oskar-von-Miller-Gymnasium München) 19.12.2008 15:13 0 Punkte Kornherr Raphael
Plattner Stephanie (Gymnasium Gars) 19.12.2008 15:30 10 Punkte Kornherr Raphael
Schmiddunser Jonas (Gymnasium Gars) 19.12.2008 15:33 10 Punkte Kornherr Raphael
dornier severin (Oskar-von-Miller-Gymnasium München) 19.12.2008 15:56 0 Punkte Kornherr Raphael
Tempfli Hannelore (Carl-Orff-Gymnasium Unterschleißheim) 19.12.2008 16:03 0 Punkte Kornherr Raphael
Danner Christian (Staatliches Gymnasium Pullach) 19.12.2008 16:08 0 Punkte Kornherr Raphael
Kiefer Kajetan (Gymnasium Gars) 19.12.2008 16:10 10 Punkte Kornherr Raphael
wolff lukas (Carl-Orff-Gymnasium Unterschleißheim) 19.12.2008 16:14 0 Punkte Kornherr Raphael
Tiesmeyer Katharina (Carl-Spitzweg-Gymnasium Germering) 19.12.2008 16:15 0 Punkte Kornherr Raphael
Bezold Maxi (Gymnasium Gars) 19.12.2008 16:38 0 Punkte Kornherr Raphael
Streppel Lena (Staatliches Gymnasium Pullach) 19.12.2008 16:56 0 Punkte Kornherr Raphael
Benkert Ludwig (Oskar-Maria-Graf-Gymnasium Neufahrn) 19.12.2008 17:03 0 Punkte Kornherr Raphael
(Oskar-Maria-Graf-Gymnasium Neufahrn) 19.12.2008 17:07 10 Punkte Kornherr Raphael
Mayer Alexander (Oskar-von-Miller-Gymnasium München) 19.12.2008 17:12 0 Punkte Kornherr Raphael
Tsareva Irina (Carl-Orff-Gymnasium Unterschleißheim) 19.12.2008 17:12 0 Punkte Kornherr Raphael
Griesser Fabian (Oskar-von-Miller-Gymnasium München) 19.12.2008 17:18 0 Punkte Kornherr Raphael
S Katrin (Carl-Orff-Gymnasium Unterschleißheim) 19.12.2008 17:23 0 Punkte Kornherr Raphael
Uth Philipp (Oskar-Maria-Graf-Gymnasium Neufahrn) 19.12.2008 17:23 10 Punkte Kornherr Raphael
Uth Anna-Lena (Oskar-Maria-Graf-Gymnasium Neufahrn) 19.12.2008 17:25 10 Punkte Kornherr Raphael
Kölzer Sara (Carl-Orff-Gymnasium Unterschleißheim) 19.12.2008 18:15 0 Punkte Kornherr Raphael
Segler Chris (Staatliches Gymnasium Pullach) 19.12.2008 18:32 0 Punkte Kornherr Raphael
Hausmann Alexander (Oskar-von-Miller-Gymnasium München) 19.12.2008 18:38 0 Punkte Kornherr Raphael
Schindler Anne (Staatliches Gymnasium Pullach) 19.12.2008 18:51 0 Punkte Kornherr Raphael
Ruhstorfer Daniel (Carl-Orff-Gymnasium Unterschleißheim) 19.12.2008 18:59 10 Punkte Kornherr Raphael
Portenlänger Max (Staatliches Gymnasium Pullach) 19.12.2008 18:59 0 Punkte Kornherr Raphael
Klein Andreas (Carl-Orff-Gymnasium Unterschleißheim) 19.12.2008 19:00 10 Punkte Kornherr Raphael
franke nicole (Senefelder-Schule Treuchtlingen) 19.12.2008 19:03 0 Punkte Kornherr Raphael
Budusan Elena (Staatliches Gymnasium Pullach) 19.12.2008 19:05 0 Punkte Kornherr Raphael
(Oskar-von-Miller-Gymnasium München) 19.12.2008 19:05 0 Punkte Kornherr Raphael
Benkert Josephine (Oskar-Maria-Graf-Gymnasium Neufahrn) 19.12.2008 19:09 0 Punkte Kornherr Raphael
Klein Tobias Gerhard (Carl-Orff-Gymnasium Unterschleißheim) 19.12.2008 19:13 10 Punkte Kornherr Raphael
Jonathan Heilein (Carl-Orff-Gymnasium Unterschleißheim) 19.12.2008 19:17 10 Punkte Kornherr Raphael
Amberger Tamara (Carl-Orff-Gymnasium Unterschleißheim) 19.12.2008 19:40 0 Punkte Kornherr Raphael
Benedikt Schoof (Carl-Orff-Gymnasium Unterschleißheim) 19.12.2008 19:44 0 Punkte Kornherr Raphael
Lewik Alexandra (Carl-Orff-Gymnasium Unterschleißheim) 19.12.2008 19:45 0 Punkte Kornherr Raphael
Millinger Gabriel (Oskar-Maria-Graf-Gymnasium Neufahrn) 19.12.2008 20:11 0 Punkte Kornherr Raphael
Aumeier Sebastian (Carl-Orff-Gymnasium Unterschleißheim) 19.12.2008 20:59 0 Punkte Kornherr Raphael
Gräßle Sarah (Carl-Orff-Gymnasium Unterschleißheim) 19.12.2008 21:07 0 Punkte Kornherr Raphael
Vobl Richard (Carl-Orff-Gymnasium Unterschleißheim) 19.12.2008 21:11 10 Punkte Kornherr Raphael
(Oskar-Maria-Graf-Gymnasium Neufahrn) 19.12.2008 21:35 0 Punkte Kornherr Raphael
Balz leonhard (Klenze-Gymnasium München) 19.12.2008 21:36 10 Punkte Kornherr Raphael
Kirchleitner Sabrina (LMU München (Mathematisches Institut)) 19.12.2008 21:51 0 Punkte Kornherr Raphael
Buchweitz Vanessa (Carl-Orff-Gymnasium Unterschleißheim) 19.12.2008 22:06 10 Punkte Kornherr Raphael
Backs Christian (Oskar-Maria-Graf-Gymnasium Neufahrn) 19.12.2008 22:20 10 Punkte Kornherr Raphael
Große Nico (Staatliches Gymnasium Pullach) 19.12.2008 22:34 10 Punkte Kornherr Raphael
Heiß Quirin (Oskar-von-Miller-Gymnasium München) 19.12.2008 22:51 0 Punkte Kornherr Raphael
Hörner Laura (Senefelder-Schule Treuchtlingen) 19.12.2008 23:18 0 Punkte Kornherr Raphael
Gartner Kim (Oskar-Maria-Graf-Gymnasium Neufahrn) 19.12.2008 23:21 0 Punkte Kornherr Raphael
Hüttinger Fabian (Senefelder-Schule Treuchtlingen) 19.12.2008 23:35 0 Punkte Kornherr Raphael
Dirkmann Ricarda (Erasmus-Grasser-Gymnasium München) 19.12.2008 23:39 0 Punkte Kornherr Raphael
Andonian Caroline (Staatliches Gymnasium Pullach) 20.12.2008 00:01 0 Punkte Kornherr Raphael
Zental Nelly (Carl-Orff-Gymnasium Unterschleißheim) 20.12.2008 01:56 0 Punkte Kornherr Raphael
Aschauer Florian (Carl-Orff-Gymnasium Unterschleißheim) 20.12.2008 06:25 0 Punkte Kornherr Raphael
Aschauer Tobias (Carl-Orff-Gymnasium Unterschleißheim) 20.12.2008 06:28 0 Punkte Kornherr Raphael
Impressum Rätselsoftware: LogicWeekly Version 2.4 Beta entwickelt von Christian Spitschka (© 2004-2009) Forensoftware: Burning Board, entwickelt von WoltLab GmbH