Beim Durchstöbern der Technik-Abteilung im Kaufhaus nach einem passenden Weihnachtsgeschenk für ihren Freund stößt Nadine auf 4 baugleiche Bildschirme. Diese sind so angeordnet, dass sich insgesamt ein großes Rechteck ergibt (je zwei neben- und übereinander). Erstaunt bemerkt Nadine, dass jeder der 4 Monitore das gleiche Bild anzeigt: Nämlich das Gesamtbild aller 4 Bildschirme zusammen. Fasziniert von diesem Anblick, möchte sie einen Karton hinter den Bildschirmen aus dem Regal nehmen und zieht dabei versehentlich das Stromkabel des unteren linken Bildschirms aus der Steckdose. Die übrigen Bildschirme werden dabei nicht von der Stromversorgung getrennt, verändern durch den Ausfall des Bildschirms links unten allerdings ihr eigenes Bild. Aber was genau ist nun auf jedem einzelnen der 3 verbleibenden Monitore zu sehen?
| Dieses Rätsel ist abgelaufen |
Interessanterweise zeigt nun nicht nur der ausgefallene Monitor ein schwarzes Bild, sondern alle. Abbildung 1 zeigt zunächst vereinfacht, wie das Gesamtbild aussieht, wenn man zum besseren Verständnis jedem Bildschirm eine Farbe zuordnet und zunächst nicht berücksichtigt, dass ja genau dieses Gesamtbild mit den vier Farben eigentlich in jedem der vier Monitore zu sehen sein müsste. Von dieser vereinfachten Darstellung ausgehend ergibt sich Abbildung 2, wenn der Bildschirm in der linken unteren Ecke ausfällt. Da in Wirklichkeit jeder einzelne Bildschirm aber nicht allein seine eigene Farbe darstellt, sondern das Gesamtbild, ist die Annahme, dass nur das Quadrat unten links schwarz wird, falsch: Das ursprüngliche Gesamtbild sieht eher wie Abbildung 3 aus. Ganz genau genommen müsste dort jedes kleine Quadrat erneut in vier noch kleinere geteilt werden, welche wieder geteilt werden, usw. Ausgehend von der Darstellung in Abbildung 3 ergibt sich schon ein viel dunkleres Bild (Abbildung 4) als eingangs vermutet, sobald der grüne Bildschirm ausfällt. Eine noch genauere Ansicht (Abbildung 5) zeigt, dass in Wirklichkeit ein noch größerer Anteil der Fläche des Gesamtbildes schwarz wird. 
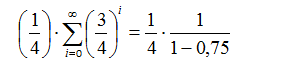
Mit Hilfe einer kurzen mathematischen Überlegung lässt sich beweisen, dass das Bild tatsächlich völlig schwarz wird (Abbildung 6): Man kann den schwarzen Anteil des Gesamtbildes als Summe berechnen. Der erste Summand ist genau ein Viertel des Gesamtbildes, nämlich der ausfallende Bildschirm. Diesen Summanden vom Wert ein Viertel kann man auch als "3 hoch 0" mal "1/4 hoch 1" schreiben (siehe unten). Hinzu kommt in jedem der drei ("3 hoch 1") übrigen Quadrate eine schwarze Fläche, die ein Viertel dieser Quadrate und somit ein Sechzehntel ("ein Viertel hoch 2") des Gesamtbildes ausmachen. Mit den nächst kleineren Quadraten geht man genauso vor, mit den noch kleineren wieder und so weiter:

Nach Ausklammern von "ein Viertel" ergibt sich für die unendliche geometrische Reihe (s. Formelsammlung): 
Der so entstandene Term ergibt 1 (sprich 100%), was beweist, dass das Gesamtbild schließlich völlig dunkel ist.
Lösung ausblenden |
|
|