LogicWeekly » Archiv » » Hallo Gast [Anmelden|Registrieren]

Logic-Weekly.de [Alles zeigen]

 
Adventskalender 2012

 
Rätsel [Alles zeigen]

 
Meine Mitgliedschaft

 
Bestenlisten [Alles zeigen]

 
Die Schulen [Alles zeigen]

 
Rätselforum [Alles zeigen]

 
Adventskalender 2007 » Biologie

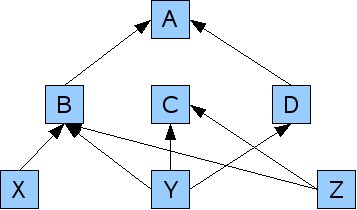
Abhängigkeiten 

Das folgende Nahrungsnetz stellt die Wechselbeziehungen mehrerer Arten dar.

Das Bild ist momentan nicht verfügbar. Bitte lade die Seite neu (F5). Sollte das Bild immer noch nicht angezeigt werden, melde dich bitte bei Markus Martini, dem Einsteller oder Christian Spitschka!

 

 

Welche Folge hätte das Verschwinden der Art B aus dem Ökosystem? Gib als Antwort nur den entsprechenden Buchstaben an.

 

 

 A

Art X würde ihre einzige Beute verlieren.

 B

Art A würde ihre einzige Beute verlieren.

 C

Art D würde davon profitieren, weil sie am wenigsten mit Art B zu tun hat.

 D

Art C würde davon profitieren, weil sich die Konkurrenz zwischen Art Bund C verringern würde.

 E Das Verschwinden von Art B hätte keinen Effekt auf Art C oder D.

 

 

 


 

  

Wenn Art A den Schimpansen und Art X den Schwalbenschwanz darstellen würde, können diese Arten jeweils einem der folgenden Graphen (Abhängigkeit der Überlebenshäufigkeit vom Alter) zugeordnet werden. Gib jeweils die passende Ziffer zu den Arten A = ? und X = ? an.

 Das Bild ist momentan nicht verfügbar. Bitte lade die Seite neu (F5). Sollte das Bild immer noch nicht angezeigt werden, melde dich bitte bei Markus Martini, dem Einsteller oder Christian Spitschka!

Gib bitte die Antwort als Kürzel an: A = ? bzw. X = ?  

 



Dieses Rätsel ist abgelaufen
Hier klicken um Lösung anzuzeigen

Rätselinfos
Start:
09.12.2007 06:30
Ende:
10.12.2007 06:30
Schwierigkeitsstufe:
(60 von 100)
Abgegebene Lösungen:
71
Eingestellt von:
Spangler Michael (Oskar-von-Miller-Gymnasium München)  
» Zur Diskussion im Forum


Abgegebene Lösungen
Benutzer Datum / Uhrzeit Richtig / Falsch Punkte Kontrolliert von
Kornherr Raphael (LMU München (Mathematisches Institut)) 09.12.2007 06:49 13 Punkte Spangler Michael
Ahmad Abrar (Carl-Orff-Gymnasium Unterschleißheim) 09.12.2007 06:49 0 Punkte Spangler Michael
Kirchleitner Sabrina (LMU München (Mathematisches Institut)) 09.12.2007 07:11 0 Punkte Spangler Michael
Körber Lisa (Oskar-Maria-Graf-Gymnasium Neufahrn) 09.12.2007 08:11 0 Punkte Spangler Michael
Millinger Gabriel (Oskar-Maria-Graf-Gymnasium Neufahrn) 09.12.2007 09:12 0 Punkte Spangler Michael
wolff lukas (Carl-Orff-Gymnasium Unterschleißheim) 09.12.2007 09:19 0 Punkte Spangler Michael
Hübner Fabian (Senefelder-Schule Treuchtlingen) 09.12.2007 09:41 0 Punkte Spangler Michael
Hacker Jonas (Senefelder-Schule Treuchtlingen) 09.12.2007 09:55 0 Punkte Spangler Michael
Neuendorf Philip (Staatliches Gymnasium Pullach) 09.12.2007 10:11 0 Punkte Spangler Michael
Benedikt Schoof (Carl-Orff-Gymnasium Unterschleißheim) 09.12.2007 10:17 0 Punkte Spangler Michael
Taphorn Kirsten (Carl-Orff-Gymnasium Unterschleißheim) 09.12.2007 10:17 0 Punkte Spangler Michael
Bollmann Noel (Staatliches Gymnasium Pullach) 09.12.2007 10:18 0 Punkte Spangler Michael
Kammerer Alexander (Carl-Orff-Gymnasium Unterschleißheim) 09.12.2007 10:22 0 Punkte Spangler Michael
Zhu Franziska (Carl-Orff-Gymnasium Unterschleißheim) 09.12.2007 10:48 0 Punkte Spangler Michael
Figge Familie (Staatliches Gymnasium Pullach) 09.12.2007 11:05 0 Punkte Spangler Michael
Benkert Ludwig (Oskar-Maria-Graf-Gymnasium Neufahrn) 09.12.2007 11:06 0 Punkte Spangler Michael
dornier severin (Oskar-von-Miller-Gymnasium München) 09.12.2007 11:07 0 Punkte Spangler Michael
Palfner da Paz Fabiano (Staatliches Gymnasium Pullach) 09.12.2007 11:35 0 Punkte Spangler Michael
Grünke Paul (Erasmus-Grasser-Gymnasium München) 09.12.2007 11:37 0 Punkte Spangler Michael
Deschner Magdalena (Oskar-Maria-Graf-Gymnasium Neufahrn) 09.12.2007 11:58 0 Punkte Spangler Michael
Hagen Sandra (Carl-Orff-Gymnasium Unterschleißheim) 09.12.2007 12:16 0 Punkte Spangler Michael
Riedl Raphael (Gymnasium Gars) 09.12.2007 12:20 12 Punkte Spangler Michael
Maintok Alisa (Carl-Orff-Gymnasium Unterschleißheim) 09.12.2007 12:26 0 Punkte Spangler Michael
Backs Christian (Oskar-Maria-Graf-Gymnasium Neufahrn) 09.12.2007 12:30 11 Punkte Spangler Michael
Segler Chris (Staatliches Gymnasium Pullach) 09.12.2007 12:52 0 Punkte Spangler Michael
Rauwolf Sonja (Carl-Orff-Gymnasium Unterschleißheim) 09.12.2007 13:03 0 Punkte Spangler Michael
Child Christopher (Oskar-von-Miller-Gymnasium München) 09.12.2007 13:08 0 Punkte Spangler Michael
Reichart Antonia (Carl-Orff-Gymnasium Unterschleißheim) 09.12.2007 14:02 0 Punkte Spangler Michael
Brinck Katharina (Klenze-Gymnasium München) 09.12.2007 14:37 10 Punkte Spangler Michael
Schicker Doris (Carl-Orff-Gymnasium Unterschleißheim) 09.12.2007 14:48 0 Punkte Spangler Michael
Brüggemann Astrid (Oskar-von-Miller-Gymnasium München) 09.12.2007 15:03 0 Punkte Spangler Michael
Sachs Anna (Oskar-Maria-Graf-Gymnasium Neufahrn) 09.12.2007 15:17 10 Punkte Spangler Michael
(Oskar-von-Miller-Gymnasium München) 09.12.2007 15:39 0 Punkte Spangler Michael
Baumgardt Maximilian (Oskar-Maria-Graf-Gymnasium Neufahrn) 09.12.2007 15:44 0 Punkte Spangler Michael
Ruhstorfer Daniel (Carl-Orff-Gymnasium Unterschleißheim) 09.12.2007 15:55 0 Punkte Spangler Michael
Streppel Barbara (Staatliches Gymnasium Pullach) 09.12.2007 16:00 10 Punkte Spangler Michael
Haderecker Julia (Carl-Orff-Gymnasium Unterschleißheim) 09.12.2007 16:15 0 Punkte Spangler Michael
Ebner Armin (Carl-Orff-Gymnasium Unterschleißheim) 09.12.2007 16:19 0 Punkte Spangler Michael
Peemöller Justus (Staatliches Gymnasium Pullach) 09.12.2007 17:11 0 Punkte Spangler Michael
Vogel Alina (Carl-Orff-Gymnasium Unterschleißheim) 09.12.2007 17:12 0 Punkte Spangler Michael
Wenzl Tobias (Carl-Orff-Gymnasium Unterschleißheim) 09.12.2007 18:00 0 Punkte Spangler Michael
stengel Alexander (Carl-Orff-Gymnasium Unterschleißheim) 09.12.2007 18:04 0 Punkte Spangler Michael
Freiberger Felix (Carl-Orff-Gymnasium Unterschleißheim) 09.12.2007 18:53 0 Punkte Spangler Michael
Bresele Andrea (Carl-Orff-Gymnasium Unterschleißheim) 09.12.2007 19:01 0 Punkte Spangler Michael
Klein Tobias Gerhard (Carl-Orff-Gymnasium Unterschleißheim) 09.12.2007 19:03 0 Punkte Spangler Michael
Aumeier Sebastian (Carl-Orff-Gymnasium Unterschleißheim) 09.12.2007 19:11 10 Punkte Spangler Michael
Hüttinger Fabian (Senefelder-Schule Treuchtlingen) 09.12.2007 19:19 0 Punkte Spangler Michael
Tepohl Clara (Staatliches Gymnasium Pullach) 09.12.2007 19:30 0 Punkte Spangler Michael
Schnell Lisa-Marie (Carl-Orff-Gymnasium Unterschleißheim) 09.12.2007 19:44 0 Punkte Spangler Michael
Streppel Lena (Staatliches Gymnasium Pullach) 09.12.2007 19:51 10 Punkte Spangler Michael
Koutny Joshua (Gymnasium Gars) 09.12.2007 19:55 0 Punkte Spangler Michael
Jonathan Heilein (Carl-Orff-Gymnasium Unterschleißheim) 09.12.2007 20:08 10 Punkte Spangler Michael
Vidoni Sarah (Carl-Orff-Gymnasium Unterschleißheim) 09.12.2007 20:09 0 Punkte Spangler Michael
Deuter Lukas (Carl-Orff-Gymnasium Unterschleißheim) 09.12.2007 20:14 0 Punkte Spangler Michael
Holzner Dana (Carl-Orff-Gymnasium Unterschleißheim) 09.12.2007 20:20 10 Punkte Spangler Michael
Schulte Christian (Carl-Orff-Gymnasium Unterschleißheim) 09.12.2007 20:23 0 Punkte Spangler Michael
Große Nico (Staatliches Gymnasium Pullach) 09.12.2007 20:32 0 Punkte Spangler Michael
Gerlicher Katrin (Carl-Orff-Gymnasium Unterschleißheim) 09.12.2007 20:35 0 Punkte Spangler Michael
Kasperek Jan (Staatliches Gymnasium Pullach) 09.12.2007 20:44 0 Punkte Spangler Michael
Meier Tanja (Carl-Orff-Gymnasium Unterschleißheim) 09.12.2007 20:46 0 Punkte Spangler Michael
Eck Kim (Carl-Orff-Gymnasium Unterschleißheim) 09.12.2007 20:50 10 Punkte Spangler Michael
Gasteiger Katrin (Carl-Orff-Gymnasium Unterschleißheim) 09.12.2007 20:51 10 Punkte Spangler Michael
Eck Kai (Carl-Orff-Gymnasium Unterschleißheim) 09.12.2007 20:53 10 Punkte Spangler Michael
Hechtl K. (Carl-Orff-Gymnasium Unterschleißheim) 09.12.2007 20:56 0 Punkte Spangler Michael
Müller Johanna (Gymnasium Gars) 09.12.2007 20:57 0 Punkte Spangler Michael
Hörner Laura (Senefelder-Schule Treuchtlingen) 09.12.2007 22:10 0 Punkte Spangler Michael
Bezold Maxi (Gymnasium Gars) 09.12.2007 22:59 0 Punkte Spangler Michael
Portenlänger Max (Staatliches Gymnasium Pullach) 09.12.2007 23:01 0 Punkte Spangler Michael
Braren Johann (Staatliches Gymnasium Pullach) 09.12.2007 23:30 0 Punkte Spangler Michael
Schreiter Niko (Staatliches Gymnasium Pullach) 10.12.2007 00:51 10 Punkte Spangler Michael
Reusch Folke (Carl-Orff-Gymnasium Unterschleißheim) 10.12.2007 06:05 0 Punkte Spangler Michael
Impressum Rätselsoftware: LogicWeekly Version 2.4 Beta entwickelt von Christian Spitschka (© 2004-2009) Forensoftware: Burning Board, entwickelt von WoltLab GmbH